Узнаем, что такое теорема косинусов, разберем ее доказательство и научимся находить с ее помощью стороны и углы треугольника
Геометрию нередко воспринимают как набор абстрактных правил и чертежей, существующих только в тетради. Но на самом деле за каждым таким правилом скрывается возможность решить реальную задачу. Рассмотрим пример.
Представьте, что вы рассчитываете длину кабеля, который нужно проложить между двумя вышками, зная лишь расстояния до третьей вышки и углы между направлениями. Возникает треугольник, в котором искомая сторона неизвестна, но две другие и угол между ними вполне доступны. Именно здесь и нужна теорема косинусов. Она обобщает уже известную нам теорему Пифагора на любые треугольники.
Вместе с преподавателем математики мы разберем формулировку и доказательство теоремы косинусов, научимся применять ее для решения задач и выясним, как с ее помощью находить стороны и углы треугольника.
Теорема косинусов является обобщением теоремы Пифагора для произвольных треугольников. Это одна из ключевых теорем геометрии, представленных в учебниках Федерального перечня1, и она работает для любых треугольников.
Теорема косинусов:
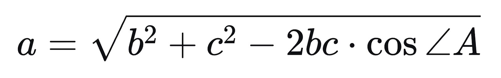
Квадрат любой стороны треугольника равен сумме квадратов двух других сторон минус удвоенное произведение этих сторон на косинус угла между ними.
Иными словами, теорема косинусов позволяет найти сторону треугольника, зная две другие стороны и угол между ними.
Математическая запись теоремы косинусов для треугольника ABC со сторонами a = BC, b = AC, c = AB и углами A, B, C, противолежащими соответствующим сторонам, выглядит следующим образом:

где:
Обратите внимание, что если угол прямой (90°), его косинус равен нулю, и формула превращается в теорему Пифагора: a2 = b2 + c2.
Чтобы быстро ориентироваться в возможностях теоремы косинусов и всегда держать под рукой ключевую информацию, сохраните эту таблицу-шпаргалку.
| Теорема косинусов | Описание |
|---|---|
| Суть теоремы | Квадрат стороны треугольника равен сумме квадратов двух других сторон минус удвоенное произведение этих сторон на косинус угла между ними |
| Основная формула | a2 = b2 + c2 — 2bc × cos∠A |
| Для каких треугольников работает | Для любых треугольников |
| Что можно найти | Неизвестную сторону по двум сторонам и углу между ними или угол по трем сторонам |
| Частный случай | При угле 90° теорема косинусов превращается в теорему Пифагора |
Докажем теорему косинусов для треугольника ABC со сторонами a = BC, b = AC, c = AB. Рассмотрим угол A и докажем, что a2 = b2 + c2 — 2bc × cos∠A.
Способ 1
Рассмотрим треугольник ABC. Проведем высоту BH из вершины B на сторону AC. Получим два прямоугольных треугольника ABH и CBH.

В треугольнике ABH:
AH = AB × cos∠A = c × cos∠A, так как cos∠A равен прилежащему катету, деленному на гипотенузу.
BH = AB × sin∠A = c × sin∠A, так как sin∠A равен противолежащему катету, деленному на гипотенузу.
Сторона AC = b состоит из двух отрезков: b = AH + HC.
Отсюда: HC = b — AH = b — c × cos∠A.
В прямоугольном треугольнике CBH по теореме Пифагора: BC2 = BH2 + HC2.
Подставляем выражения:
a2 = (c × sin∠A)2 + (b — c × cos∠A)2
a2 = c2 × sin2∠A + b2 — 2bc × cos∠A + c2 × cos2∠A
a2 = b2 + c2(sin2∠A + cos2∠A) — 2bc × cos∠A
a2 = b2 + c2 — 2bc × cos∠A
Что и требовалось доказать. Аналогично доказывается формула для других сторон.
Способ 2
Расположим треугольник ABC в координатной плоскости. Поместим вершину A в начало координат (0; 0), вершину C на положительной полуоси OX так, чтобы AC = b. Тогда координаты точки C (b; 0).

Вершину B расположим так, чтобы AB = c, а угол A задан.
Тогда координаты точки B (c × cos∠A; c × sin∠A).
Сторона a = BC — это расстояние между точками B и C:
a2 = (b — c × cos∠A)2 + (0 — c × sin∠A)2
Раскрываем скобки: a2 = b2 — 2bc × cos∠A + c2 × cos2∠A + c2 × sin2∠A
Выносим c2 за скобки: a2 = b2 — 2bc × cos∠A + c2(cos2∠A + sin2∠A)
Так как cos2∠A + sin2∠A = 1 по основному тригонометрическому тождеству, получаем: a2 = b2 + c2 — 2bc × cos∠A
Что и требовалось доказать. Аналогично можно доказать формулу для сторон b и c.

Теорема косинусов является одним из основных инструментов для решения произвольных треугольников. С ее помощью можно находить неизвестные стороны и углы по известным элементам фигуры.
Чтобы найти неизвестную сторону, нужно знать две другие стороны и угол между ними. Неизвестная сторона вычисляется по формуле:

Пример
В треугольнике ABC известны стороны b = 7 см, c = 8 см и угол A = 60° между ними. Найдем сторону a.
a2 = 72 + 82 — 2 × 7 × 8 × cos60° = 49 + 64 — 112 × ½ = 57
a = √57 см
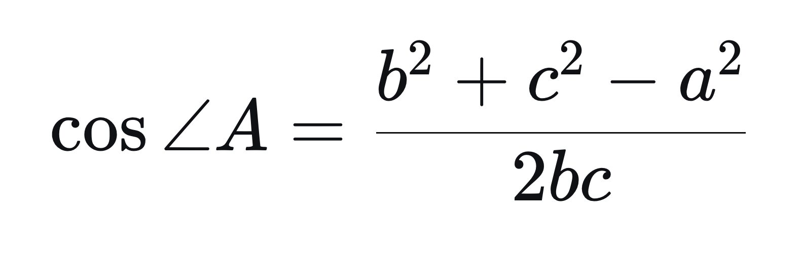
Чтобы найти неизвестный угол, нужно знать все три стороны треугольника. Из теоремы косинусов выражаем косинус искомого угла:

Пример
В треугольнике ABC стороны равны: a = 7 см, b = 3 см, c = 5 см. Найдем угол A, противолежащий стороне a.
cos∠A = (32 + 52 — 72) / (2 × 3 × 5) = (9 + 25 — 49) / 30 = (-15) / 30 = -0,5
Так как косинус отрицательный, угол A тупой. Этому значению соответствует угол ∠A = 120°.
Проверим, как вы усвоили материал. Попробуйте решить каждое задание самостоятельно, а затем сверьтесь с решениями. Если какой-то шаг вызывает вопрос, всегда можно вернуться к соответствующему разделу статьи и повторить теорию.
В треугольнике ABC стороны AB = 5 см, AC = 8 см, угол A = 60°. Найдите сторону BC.
Сторона BC противолежит углу A. Запишем теорему косинусов:
BC2 = AB2 + AC2 — 2 × AB × AC × cos∠A
Подставляем известные значения:
BC2 = 52 + 82 — 2 × 5 × 8 × cos60° = 25 + 64 — 80 × ½ = 49
BC = √49 = 7 см
Ответ: 7 см
В треугольнике ABC стороны AB = 3 см, AC = 8 см, BC = 7 см. Найдите угол A.
Угол A противолежит стороне BC. Выразим его косинус из теоремы косинусов:
cos∠A = (AB2 + AC2 — BC2) / (2 × AB × AC)
Подставляем известные значения:
cos∠A = (32 + 82 — 72) / (2 × 3 × 8) = (9 + 64 — 49) / 48 = (24) / 48 = 0,5
Данному значению косинуса соответствует угол ∠A = 60°.
Ответ: 60°
В треугольнике ABC стороны AB = 4 см, BC = 6 см, угол B = 120°. Найдите сторону AC.
Сторона AC противолежит углу B. Запишем теорему косинусов:
AC2 = AB2 + BC2 — 2 × AB × BC × cos∠B
Подставляем известные значения. Обратите внимание, что cos120° = -½:
AC2 = 42 + 62 — 2 × 4 × 6 × (-½) = 52 + 24 = 76
AC = √76 = 2√19 см
Ответ: 2√19 см
В треугольнике ABC стороны равны: a = 4 см, b = 5 см, c = 6 см. Найдите косинус наибольшего угла треугольника.
Наибольший угол треугольника лежит против наибольшей стороны. В данном треугольнике наибольшая сторона c = 6 см, значит, ищем угол C, противолежащий стороне c.
Из теоремы косинусов выражаем косинус угла C:
cos∠C = (a² + b² — c²) / (2ab)
Подставляем известные значения:
cos∠C = (4² + 5² — 6²) / (2 × 4 × 5) = (16 + 25 — 36) / 40 = 5 / 40 = ⅛ = 0,125
Ответ: 0,125
Отвечает Анастасия Андросова, преподаватель математики онлайн-платформы «Школково»:
Источники
Материал подготовлен в соответствии с официальными документами и рекомендациями:
1. Министерство просвещения России. Федеральный перечень учебников. URL: https://fpu.edu.ru/
2. Министерство просвещения России. Федеральная рабочая программа по учебному предмету «Математика». URL: https://static.edsoo.ru/projects/fop/index.html#/sections/200215
3. Федеральный институт педагогических измерений. Открытый банк заданий ОГЭ и ЕГЭ по математике. Методические рекомендации для учителей. URL: https://fipi.ru/