Рациональные уравнения

Научимся решать дробно-рациональные уравнения, разберемся, как находить область допустимых значений, освоим основные методы решения и научимся избегать типичных ошибок

Рациональные уравнения. Изображение: Александр Морозов / нейросети
Илья Печеский Преподаватель математики онлайн-школы «100-балльный репетитор» Ирина Соколова Автор КП

Вы уже умеете решать линейные и квадратные уравнения, теперь пора перейти к более сложным задачам. Рациональные уравнения, в которых переменная находится в знаменателе, требуют более внимательного подхода и аккуратности при преобразованиях.

Главная особенность таких уравнений связана с областью допустимых значений: не каждое найденное решение будет подходить, поэтому важно не только правильно решить уравнение, но и проверить полученные корни. В этой теме мы вместе с преподавателем профильной математики Ильей Печеским разберем основные правила работы с дробно-рациональными уравнениями, научимся применять алгоритм решения и закрепим знания на примерах и задачах.

Что такое рациональные уравнения в алгебре

Рациональное уравнение — это любое уравнение, содержащее рациональные выражения, то есть выражения, которые можно представить в виде отношения двух многочленов.

С этой точки зрения многие уже знакомые уравнения также являются рациональными. Например:

  • линейное уравнение 2x — 5 = 0 можно записать как (2x — 5)/1 = 0;
  • квадратное уравнение x2 — 9 = 0 можно записать как (x2 — 9)/1 = 0.

Однако в школьной практике термин рациональные уравнения чаще используется для обозначения уравнений, в которых переменная находится в знаменателе, — дробно-рациональные уравнения. Это более сложный случай, требующий особого подхода к решению и обязательного учета ограничений.

Общий вид дробно-рационального уравнения с одной переменной:

P(x) / Q(x) = 0,

где:

  • P(x) и Q(x) — многочлены,
  • Q(x) ≠ 0 (так как на ноль делить нельзя).

Такое понимание темы закреплено в учебниках, входящих в федеральный перечень учебников, рекомендованных Министерством просвещения Российской Федерации1.

Полезная информация о рациональных уравнениях

Чтобы легче ориентироваться в теме и не путаться при решении задач, удобно держать под рукой краткую таблицу-шпаргалку. В ней собраны основные правила, которые важно помнить при работе с дробно-рациональными уравнениями.

Дробно-рациональные уравненияОписание
ОпределениеУравнения, в которых переменная содержится в знаменателе
Условие существования дроби (ОДЗ)Знаменатель не равен нулю
Условие равенства дроби нулюЧислитель равен нулю с учетом ОДЗ
Проверка корнейНайденные корни нужно проверить, чтобы исключить значения, не входящие в ОДЗ

Алгоритм решения

Решить уравнение — значит найти все значения переменной, при которых данное равенство выполняется.

В случае дробно-рациональных уравнений этого недостаточно. Найденные значения переменной должны не только обращать уравнение в верное равенство, но и входить в область допустимых значений, то есть не обращать знаменатель в ноль. Именно поэтому при решении таких уравнений важно учитывать ОДЗ, а найденные корни в конце сопоставлять с ней.

Решение дробно-рациональных уравнений требует строгого порядка действий. Это связано с тем, что при работе с дробями легко потерять ограничение на знаменатель или получить посторонний корень. Рассмотрим общий алгоритм решения.

  1. Найти область допустимых значений (ОДЗ). Сначала определяют, при каких значениях переменной знаменатель обращается в ноль. Эти значения исключают из рассмотрения.
  2. Найти общий знаменатель дробей. Если в уравнении несколько дробей, находят их общий знаменатель, чтобы затем избавиться от дробных выражений.
  3. Избавиться от знаменателей. Так как на предыдущем этапе уже найдена область допустимых значений, общий знаменатель не равен нулю. Поэтому обе части уравнения можно умножить на него и перейти к более простому уравнению без дробей.
  4. Решить полученное уравнение. На этом этапе находят все корни уравнения, которое получилось после преобразований.
  5. Сопоставить найденные корни с ОДЗ. Из найденных значений оставляют только те, которые входят в область допустимых значений. Если есть сомнение в правильности преобразований, корни можно дополнительно проверить подстановкой в исходное уравнение.

Такой порядок действий помогает избежать ошибок и получить только допустимые решения. Данный алгоритм соответствует требованиям федеральной рабочей программы по математике2.

Примеры решения дробно‑рациональных уравнений

Рассмотрим несколько примеров решения дробно-рациональных уравнений, чтобы увидеть, как алгоритм применяется на практике.

Пример 1

Решим уравнение:

Найдем ОДЗ:

x — 3 ≠ 0 → x ≠ 3

Дробь равна нулю, если числитель равен нулю:

x + 2 = 0 

x = -2 

Данный корень не нарушает ОДЗ.

Ответ: -2

Пример 2

Решим уравнение:

Найдем ОДЗ:

x — 1 ≠ 0 → x ≠ 1 

x + 2 ≠ 0 → x ≠ -2

Умножим обе части уравнения на общий знаменатель (x — 1)(x + 2):

2(x + 2) = 3(x — 1)

2x + 4 = 3x — 3

x = 7

Данный корень не нарушает ОДЗ.

Ответ: 7

Пример 3

Решим уравнение:

Найдем ОДЗ:

x — 2 ≠ 0 → x ≠ 2

Дробь равна нулю, если числитель равен нулю:

x2 — 4 = 0

(x — 2)(x + 2) = 0

x1 = 2; x2 = -2

Корень x = 2 не входит в ОДЗ, поэтому его исключаем. Корень x = -2 ОДЗ не нарушает.

Ответ: -2

Задания подобного типа регулярно встречаются в материалах открытого банка заданий ОГЭ и ЕГЭ, разработанных ФИПИ3.

это интересно
Рациональные неравенства
Пошаговый алгоритм решения рациональных неравенств
Подробнее

Системы рациональных уравнений

В систему могут входить разные типы уравнений — не только дробно-рациональные, но и линейные, квадратные и другие. Важно понимать: решением системы будут те значения переменной, которые удовлетворяют всем уравнениям системы одновременно.

Алгоритм:

  1. Решить каждое уравнение системы, учитывая область допустимых значений.
  2. Найти пересечение полученных решений и записать общий ответ.

Примеры

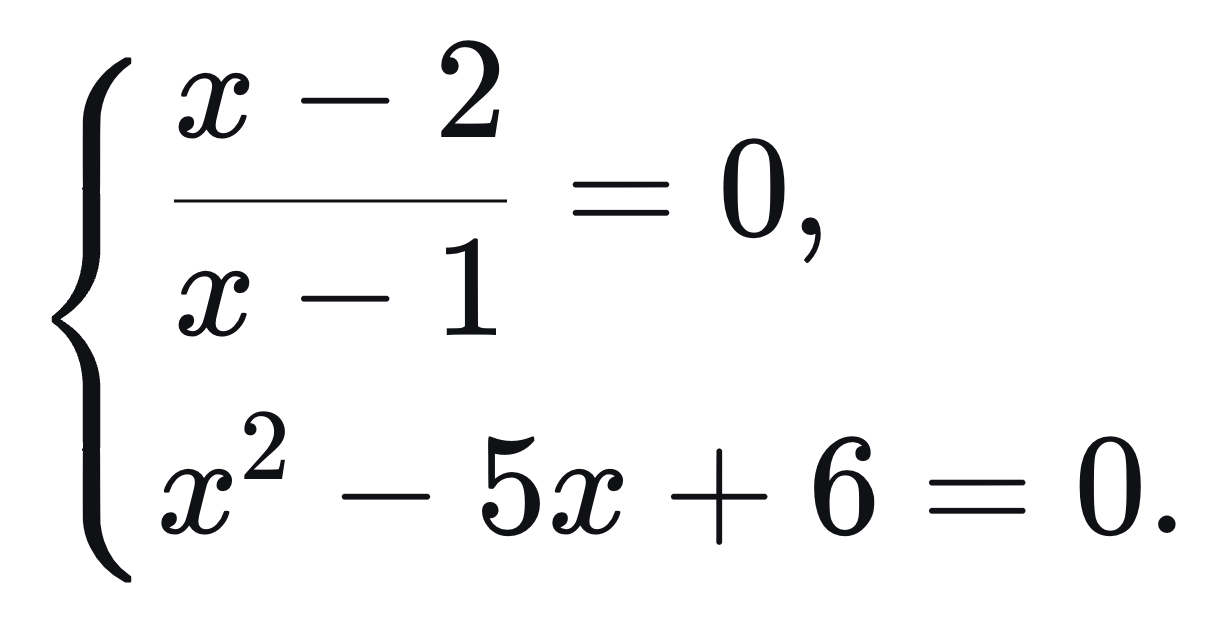
Решим систему уравнений:

Решаем первое уравнение.

Найдем ОДЗ:

x — 1 ≠ 0 → x ≠ 1

Чтобы дробь была равна нулю, числитель должен быть равен нулю:

x — 2 = 0 → x = 2 → удовлетворяет ОДЗ

Решаем второе уравнение:

x2 — 5x + 6 = 0 → (x — 2)(x — 3) = 0 → x1 = 2; x2 = 3

Находим пересечение решений: x = 2

Ответ: 2

Задачи и ответы по теме «Рациональные уравнения»

Теперь применим полученные знания на практике. Ниже приведены задачи разного уровня сложности, которые помогут закрепить алгоритм решения дробно-рациональных уравнений и научиться учитывать область допустимых значений.

Задача 1

Решите уравнение:

Решение и ответ к задаче 1

Найдем ОДЗ:

x + 3 ≠ 0 → x ≠ -3

Дробь равна нулю, если числитель равен нулю:

x — 4 = 0

x = 4

Данный корень не нарушает ОДЗ.

Ответ: 4

Задача 2

Решите уравнение:

Решение и ответ к задаче 2

Найдем ОДЗ:

x ≠ 0

x — 1 ≠ 0 → x ≠ 1

Умножим все части уравнения на общий знаменатель x(x — 1):

2(x — 1) + x = x(x — 1)

2x — 2 + x = x2 — x

x2 — 4x + 2 = 0

x1,2 = 2 ± √2

Оба корня не нарушают ОДЗ.

Ответ: 2 — √2; 2 + √2

Задача 3

Решите систему уравнений:

Решение и ответ к задаче 1

Решаем первое уравнение.

Найдем ОДЗ:

x — 1 ≠ 0 → x ≠ 1

Умножим обе части уравнения на x — 1:

x + 1 = 2(x — 1)

x + 1 = 2x — 2

x = 3

Решаем второе уравнение.

Найдем ОДЗ:

x — 1 ≠ 0 → x ≠ 1

x + 1 ≠ 0 → x ≠ -1

Умножим все части уравнения на общий знаменатель (x — 1)(x + 1):

(x + 1) + 2(x — 1) = (x — 1)(x + 1)

x + 1 + 2x — 2 = x2 — 1

x2 — 3x = 0

x(x — 3) = 0

x1 = 0; x2 = 3

Находим пересечение решений: x = 3

Ответ: 3

Популярные вопросы и ответы

Отвечает Илья Печеский, преподаватель математики онлайн-школы «100-балльный репетитор»:

Почему в дробно‑рациональных уравнениях обязательно нужно находить ОДЗ?

В математике действует базовое правило: на ноль делить нельзя. Поэтому при решении дробно-рациональных уравнений важно учитывать, что значения переменной не должны обращать знаменатель в ноль. Если просто избавиться от знаменателей и решать уравнение как обычное, можно получить решения, которые формально подходят уравнению после преобразований, но на самом деле недопустимы. Например, найденное значение переменной может одновременно обращать в ноль и числитель, и знаменатель. Такое значение не может быть ответом, потому что при нем выражение теряет смысл. Поэтому при решении дробно-рационального уравнения важно сначала выписать область допустимых значений: указать, при каких значениях переменной знаменатель не равен нулю. А после нахождения корней обязательно проверить их и исключить те, которые нарушают это условие. Такой подход помогает избежать ошибок и получить корректный ответ.

Чем дробно‑рациональные уравнения отличаются от целых рациональных?

Главное отличие связано с наличием переменной в знаменателе. В целых рациональных уравнениях переменная находится только в числителях или в выражениях, которые не стоят в знаменателе. Знаменатели, если они есть, представляют собой постоянные числа. Такие числа не зависят от переменной, поэтому при решении уравнения обычно не возникает дополнительных ограничений. В дробно-рациональных уравнениях, наоборот, переменная находится в знаменателе дроби. При изменении значения переменной знаменатель тоже меняется и может обратиться в ноль. Поскольку деление на ноль в математике невозможно, при решении таких уравнений обязательно нужно учитывать область допустимых значений, то есть заранее определить, при каких значениях переменной знаменатель не равен нулю. Таким образом, ключевая особенность дробно-рациональных уравнений кроется в необходимости учитывать ограничения на значения переменной, связанные со знаменателем.

Почему тему по алгебре «Рациональные уравнения» изучают в 8–9 классах?

Это связано с логикой построения школьной программы по математике. Сначала ученики осваивают базовые вычислительные навыки, затем знакомятся со степенями, алгебраическими выражениями и преобразованиями. Постепенно формируется понимание того, как работать с переменными и более сложными выражениями. К 8–9 классу у школьников уже есть необходимая база, чтобы переходить к решению более сложных типов уравнений, в том числе рациональных. Здесь важно не только выполнять алгебраические преобразования, но и учитывать ограничения, связанные со знаменателем, а также понимать, почему в математике нельзя делить на ноль. В этом возрасте учащиеся также начинают знакомиться с понятием функции и учатся анализировать область допустимых значений выражений. Поэтому именно к 8–9 классу у них, как правило, формируется достаточное понимание, чтобы уверенно работать с рациональными уравнениями.

В каких заданиях ОГЭ и ЕГЭ встречаются рациональные уравнения?

Рациональные уравнения встречаются в заданиях экзаменов довольно часто — как напрямую, так и внутри более сложных задач. Например, в экзаменационных задачах по алгебре нередко нужно составить уравнение по условию текстовой задачи. Такая логика встречается и в ОГЭ, и в ЕГЭ. В частности, похожие по структуре задания есть в №21 ОГЭ и №10 ЕГЭ: сначала нужно перевести условие задачи на язык математики и составить уравнение, а затем решить его. Во многих таких задачах как раз получается дробно-рациональное уравнение. Кроме того, рациональные уравнения могут встречаться и в других заданиях ЕГЭ, например в базовых алгебраических задачах или в более сложных номерах профильного уровня. Важно и то, что умение решать дробно-рациональные уравнения необходимо для решения других тем. Например, этот навык используется при решении неравенств: в ОГЭ такие задания встречаются в №20, а в ЕГЭ профильного уровня — в №15. Поэтому владение методами решения рациональных уравнений — один из базовых навыков, без которого успешно сдать ОГЭ или ЕГЭ по математике довольно сложно.

5 типов уравнений и неравенств, которые важно уметь решать

  1. Линейные уравнения: как находить неизвестную с помощью простых преобразований
  2. Кубические уравнения: как решать уравнения третьей степени и находить корни
  3. Рациональные неравенства: как применять метод интервалов
  4. Показательные неравенства: как сравнивать степени и работать с показательной функцией
  5. Логарифмические неравенства: как решать неравенства с логарифмами и учитывать ограничения

Материал подготовлен на основании официальных документов и рекомендаций:

1. Министерство просвещения России. Федеральный перечень учебников. URL: https://fpu.edu.ru/ 

  • Макарычев Ю.Н., Миндюк Н.Г., Нешков К.И., Суворова С.Б. «Алгебра. 8 класс»
  • Макарычев Ю.Н., Миндюк Н.Г., Нешков К.И., Суворова С.Б. «Алгебра. 9 класс»
  • Мерзляк А.Г., Полонский В.Б., Якир М.С. «Алгебра. 8 класс»
  • Мерзляк А.Г., Полонский В.Б., Якир М.С. «Алгебра. 9 класс»
  • Алимов Ш.А., Колягин Ю.М., Ткачева М.В. и др. «Алгебра и начала математического анализа. 10-11 классы. Базовый и углубленный уровни»

2. Министерство просвещения России. Федеральная рабочая программа по учебному предмету «Математика». URL: https://static.edsoo.ru/projects/fop/index.html#/sections/200215

3. Федеральный институт педагогических измерений. Открытый банк заданий ОГЭ и ЕГЭ по математике. Методические рекомендации для учителей. URL: https://fipi.ru/

КП
Реклама О проекте